集萃印花网 CCEDPW.COM 版权所有
E-mail:YONG_JIA@126.com
Copyright©2003- ccedpw.com. All Rights Reserved
粤ICP备09137305号 客户服务
【集萃网观察】0.前言
目前国内外纺织工业对织物或服装进行的免烫整理大多使用2D树脂,它属于N?羟甲基酰胺类交联剂[1],免烫性能很好,但整理剂含有游离甲醛,且整理后织物也有甲醛释放的问题。随着世界各国对环保和人体健康问题的日益重视,纺织工业湿加工中某些对环境和健康有影响的处理面临着严重的挑战。甲醛是高度活性的,浓度高时有毒且刺激粘膜组织[2]。许多国家对工作场所和织物上甲醛的浓度制定了法律加以限制。如德国规定,织物上游离甲醛含量不能超过1500ppm,工作场所空气中甲醛的浓度应在0.5ppm以下,在废气中小于20mg/m3;日本规定织物上甲醛含量外衣小于1000ppm,中衣、衬衣小于300ppm,内衣小于75ppm,儿童服装应不含游离甲醛;美国要求所有服装的游离甲醛含量均小于500ppm。国内外在无甲醛交联剂的研究上作了大量工作,如用丁烷四羧酸[3-5]、柠檬酸[6]、聚马来酸[3,7-10]等多元酸或其他非甲醛类化学品对织物进行整理,但往往带来成本太高,或织物泛黄,或强力损失太大的缺点。
本研究对戊二醛作为纯棉耐久免烫整理剂的可行性进行了探讨,详细研究了戊二醛浓度、催化剂系统及整理的工艺条件,并与改性2D树脂及无甲醛树脂DHDMI的整理效果进行了比较,取得了较为满意的效果。
1.实验
1.1实验材料
试验织物使用经退、煮、漂后的100%纯棉细布,重量3.8oz/yard?2,由美国Spring Industries公司提供。戊二醛(含固量50%)由美国Union Carbide公司提供,经2D改性的低甲醛整理剂FREEZER 880(含固量42%)、无甲醛整理剂FREEZER NFR(DHDMI,含固量44%)和催化剂FREECAT 9(氯化镁和氯化铝混合水溶液)均由美国Freedom Chemical公司提供。氯化镁、柠檬酸、酒石酸、磷酸二氢钠、磷酸氢二钠等均为试剂。
1.2织物整理
织物于室温下浸轧含有整理剂和催化剂的溶液,二浸二轧,轧余率100±2%,80℃预烘3分钟,而后于不同的温度焙烘不同的时间,最后经一次家庭洗涤,测试各项性能。
1.3测试方法
整理后织物分别根据AATCC测试方法标准66?1998、128?1994、110?1995及ASTM标准方法D5035?95、D2261?96测试织物的DP等级、折皱回复角、撕破强力、断裂强力、耐曲磨性、耐洗性及织物白度。
2.结果与讨论
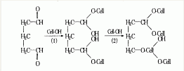
戊二醛在水溶液中的水解方程式由Earl B.Whipple给出[11];

戊二醛溶液中含有相等数量的半水合物、二水合物和环状半缩醛。一个戊二醛分子有两个醛基,可以和纤维素大分子上的羟基形成半缩醛和缩醛,从而提高织物的回复性能。

2.1不同催化剂浓度的影响
首先研究了不同氯化镁浓度对织物各项性能的影响,实验结果见表1。
从表1可以看出,氯化镁作为戊二醛与棉纤维交联反应的催化剂,其浓度对整理织物的效果有较大影响,在0.25~2%范围内,随催化剂浓度的提高,DP等级和折皱回复角呈增加趋势,而强力呈降低趋势,同时,织物白度也随之降低。这说明在选定整理剂浓度下,催化剂用量多,则催化效率高,整理剂固着率高。综合考虑折皱回复性及强力损失,氯化镁用量在?0.75%时性能较佳。
2.2混合催化剂浓度的影响
用酒石酸代替部分氯化镁,改变不同混合比,试验结果见表2。
使用混合催化剂,催化效率发生变化。随酒石酸用量和增加,在0.025~0.063%范围内,折皱回复性反而降低;继续增加酒石用量,折皱回复性提高,但织物的强力也随之降低。可以推知,整理液pH值在3.0~4.0范围内,不利于戊二醛和纤维素的交联反应。
表1 不同氯化镁浓度的影响。

注:ZK()固定条件:戊二醛(40%)8%(owb);烘干:80℃,3min;焙烘:160℃,3min
表2 混合催化剂不同混合比的影响。

注:1、* =mol/mol 2、固定条件同表1注
表3 不同混合催化剂的作用。

注:1、氯化镁0.75%(owb),2、 * =(mol/mol) 3、其它条件同表1注
表4 不同pH值的影响。

注:氯化镁0.75%(owb),其它条件同表1注。
2.3不同种类混合催化剂的作用比较
选择柠檬酸和酒石酸与氯化镁混合作为催化剂,比较它们的催化作用,试验结果见表3。柠檬酸的酸性比酒石酸强,因此整理液pH要低,两种活化剂得到的折皱回复性差不多,但DP等级均不如单独使用氯化镁的效果,且织物强力损失加大,故从本实验结果看,单独使用氯化镁作催化剂较理想。
2.4不同PH值的影响
用Na2HPO4和NaH2PO4调节整理液的pH值,在3~6的范围内,试验结果见表4。整理液的pH值对整理剂与纤维的交联反应有影响,在pH值=4~4.5范围内,交联效率较高,且织物各项性能比较均衡。
2.5不同焙烘温度和时间的影响
选择了几个不同的温度和时间,考虑其对织物性能的影响,试验结果见表5。从表5数据可以看出,160℃焙烘3min的条件同样是比较理想的。
2.6 戊二醛与其他免烫整理剂的性能比较
选择FREEREZ 880(低甲醛2D)和FREEREZ NFR (DHDMI)与戊二醛作对比试验,试验条件见表6,试验结果见表7。
表5 不同焙烘温度和时间的影响。

注:氯化镁0.75%(owb),其它条件同表1注。
表6 对比试验条件。

注: (1)FREECAT9是厂家提供的专用催化剂,FABRITONE SPE-25为柔软剂;(2)整理剂用量选用厂家提供的参考条件。
表7 对比试验结果。

从试验结果来看,DP等级为FREEREZ 880>戊二醛>FREEREZ NFR;折皱回复角为戊二醛>FREEREZ 880>FREEREZ NFR;水洗二十五次后戊二醛和FREEREZ 880的折皱回复角相仿,好于FREEREZ NFR;从白度情况看,FREEREZ 880均好于其他两种整理剂,而强力保留率及耐洗磨性以 FREEREZ NFR和戊二醛较好,且前者好与后者。戊二醛整理时焙烘温度160℃、焙烘时间为3分钟的效果比焙烘温度200℃、焙烘时间20秒要好。
3结论
1.戊二醛作为免烫整理剂是可行的,免烫性能良好,物理机械性能基本可达到服用要求。
2.氯化镁是戊二醛和纤维素交联反应的较理想的催化剂之一,在实验条件下,0.75%(owb)的氯化镁用量可获得较佳的整理效果。
3.使用酒石酸和氯化镁混合催化剂可以提高催化效果,但酒石酸的用量对织物强力影响较大,酒石酸/氯化镁混合摩尔比在0.056时可获得单独使用氯化镁时的最佳效果。
4.用柠檬酸替代部分氯化镁作为催化剂,效果不如单独使用氯化镁。
5.戊二醛整理液pH值为4~4.5时效果最佳。
6.戊二醛整理时焙烘温度160℃,焙烘时间为3分钟时效果最佳。
7.戊二醛整理后织物折皱回复性好于FREEREZ NFR但差于FREEREZ 880;强力好于FREEREZ 880但差于FREEREZ NFR;1次水洗后织物白度稍低于FREEREZ NFR和FREEREZ 880。戊二醛价格低廉,综合考虑各项指标的平衡,戊二醛是一种较好的无甲醛免烫整理剂。
参考文献
1. Petersen,H.A,Crosslinking withFormaldehyde-Containing Reactants,in“Chemical
Processing of Fibers and Fabrics:functional Finishers Part"A",ED.Lewin,M.,and
Sello,S.B.,Mercel Dekker,Newyork,1983,P47-327
2. Formaldehyde Harzards in Textile Finishing,A.M.Palliser,Hoechst U.K.,colourage,b,1997,279-286
3.CJ[J]:110:P156064
4.CA[J]:113:P154233
5.CA[J]:128:P129138
6. Clark M.Welch,Julie G.Peter,Textile Chemist and Colorest,1999,1(3):55-60
7.Charles Q.Yang,Xilie Wang,Textile Research Journal,1997,67(5):334-342
8.Charles.Q.Yang,Lan Xu,Textile Research Journal,1998,68(5):457-464
9.Weishu Wei,Charles Q.Yang,Textile Chemist and Colorist,1999,31(1):34-38
10.Charles Q.Yang,Lan Xu,Textil Research Journal,1998,68(6):457-464
11.Whipple,E.B.,and Ruta M.,J.Org.chem.,1974,39,1666-1668
来源:中华印染网